Последние документы
31.03.2026
Отчёты за 2025г по услугам и работам на объектах
31.03.2026
31.03.2025
Новости управляющей компании
05.03.2026
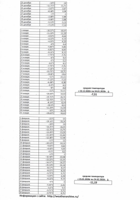
Почему сумма платежа за услугу отопления в феврале 2026 года больше чем в январе 2026 года.
Уважаемые собственники!
При расчёте услуги отопления основным показателем для её расчёта является потребление тепловой энергии многоквартирным домом (МКД) зафиксированные общедомовым прибором учёта (ОДПУ), за расчётный период. Так как услуга отопления производится на оборудовании, расположенном в индивидуальном тепловом пункте (ИТП) в автоматическом режиме, в зависимости от температуры наружного воздуха. Чем ниже температура наружного воздуха, тем больше тепловой энергии затрачивается для нагрева отопительным приборов в МКД.
В январе 2026 года в расчёте услуги отопления использовались показания ОДПУ за период с 23.12.2025г. по 24.01.2026г. включительно. За этот период среднемесячная температура составила минус 7,51 °С.
В феврале 2026 года в расчёте услуги отопления использовались показания ОДПУ за период с 25.01.2026г. по 24.02.2026г. включительно. За этот период среднемесячная температура составила минус 11,19 °С.
Информацию о среднесуточных температурах в г. Химки вы можете найти на сайте http://weatherarchive.ru/,
в разделе - http://weatherarchive.ru/Temperature/Khimki/January-2026
Уважаемые собственники!
При расчёте услуги отопления основным показателем для её расчёта является потребление тепловой энергии многоквартирным домом (МКД) зафиксированные общедомовым прибором учёта (ОДПУ), за расчётный период. Так как услуга отопления производится на оборудовании, расположенном в индивидуальном тепловом пункте (ИТП) в автоматическом режиме, в зависимости от температуры наружного воздуха. Чем ниже температура наружного воздуха, тем больше тепловой энергии затрачивается для нагрева отопительным приборов в МКД.
В январе 2026 года в расчёте услуги отопления использовались показания ОДПУ за период с 23.12.2025г. по 24.01.2026г. включительно. За этот период среднемесячная температура составила минус 7,51 °С.
В феврале 2026 года в расчёте услуги отопления использовались показания ОДПУ за период с 25.01.2026г. по 24.02.2026г. включительно. За этот период среднемесячная температура составила минус 11,19 °С.
Информацию о среднесуточных температурах в г. Химки вы можете найти на сайте http://weatherarchive.ru/,
в разделе - http://weatherarchive.ru/Temperature/Khimki/January-2026
После авторизации на сайте с помощью личного кабинета вы сможете:
- Посмотреть баланс лицевого счета
- Передать показания
- Распечатать квитанцию
